Turbulence Model

Turbulence Model in ENVI-met

—- this information is outdated —

ENVI-met uses the so-called 2-equation Turbulence Kinetic Energy (TKE) Model to predict the turbulence in the air.
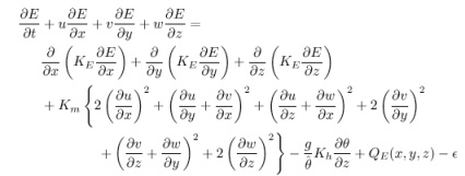
The first equation describes the distribution of the kinetic energy (E) in the air depending on production, advection, diffusion and destruction:

Prognostic equation of Turbulent Kinetic Energy (TKE)

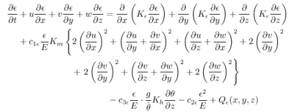
The second equation is similar but describes the Dissipation Rate of TKE (ε or eps):

Prognostic equation of dissipation rate of Turbulent Kinetic Energy (ε)

Finally, the Turbulent Exchange Coefficient Km is a result of both:

Relation of Turbulent exchange Coefficient Km to TKE and ε

As the result of the TKE-ε equation Km (via Ke and directly) is used as input data for the next calculation cycle, there is a non-linear feedback loop between the turbulent exchange coefficient and the TKE-ε equation. Once Km begins to be unstable, the TKE-ε equation system will get unstable too, producing even more unstable Km's in the next loop.


← go back to Knowledge Base Index
See also: ()


This website uses cookies. By using the website, you agree with storing cookies on your computer. Also you acknowledge that you have read and understand our Privacy Policy. If you do not agree leave the website.More information about cookies